Soit un système linéaire (S) défini comme suit:

La méthode du pivot de GAUSS consiste à transformer un système linéaire en un système triangulaire équivalent en exécutant des opérations élémentaires sur les lignes:
-échange de deux lignes Li et Lj (Li#8596;Lj).
-remplacement de la ligne Li par la combinaison #955;Li obtenu en multipliant chaque coefficient de Li par le nombre réel #955; suppose non nul (Li#8592;#955;Lj).
-remplacement de la ligne Li par la combinaison #945;Li+#946;Lj obtenu en additionnant membre a membre les lignes #945;Li et #946;Lj, #945; étant un nombre réel non nul et #946; un nombre quelconque (Li#8592; #945;Li+#946;Lj).
On doit obtenir un système équivalent au système (S’) ci-après:

Remarque :
-Deux systèmes sont dits équivalents lorsqu’ils ont le même ensemble solution.
-Lorsqu’on remplace une équation d’un système par la combinaison linéaire des
équations du système, On obtient un système équivalent au système initial.
La méthode du pivot de GAUSS se déroule comme suit :
I- Fixer une des trois équations qu’on appelle pivot (supposons que notre pivot
ici est (L1))
II- Utiliser le pivot pour éliminer l’inconnue x dans les équations (L2)
et (L3); on obtient ainsi les équations (L’2) et
(L’3) respectivement qui ne dépendent que des inconnues y et z.
III- On fixe une des équations (L’2) et (L’3)
(supposons qu’on a fixé (L’2) puis on l’utilise pour éliminer
l’inconnue y dans l’équation (L’3)); ce nous conduit à
l’équation (L’’3) qui ne dépend que de z.
IV- Le système triangulaire ( S’) est donc le système formé par (L1),(L’2)
et (L’’3)dans cet ordre pour ce cas de figure.
Exemple: Soit le système (S) suivant:

Fixons la première équation L1 comme pivot de Gauss et transformons le système (S’) en un système triangulaire équivalent.
Pour éliminer x dans L1 et dans L3
On remplace: L2 par L1+2L2
L3 par -2L1 +L3
On obtient le système suivant:

Pour éliminer y dans L’3
On remplace L’3 par 4L’2+7L’3
On obtient le système triangulaire suivant:

S= {(-1/3;0;2/3)}

Exemple:
![]()
Choisissons l’une des trois inconnues, par exemple z comme paramètre. On ramène le système (S) a un système (S’) de deux équations a deux inconnues:
![]()
Posons z= #955; #1013; IR
On a:
![]()
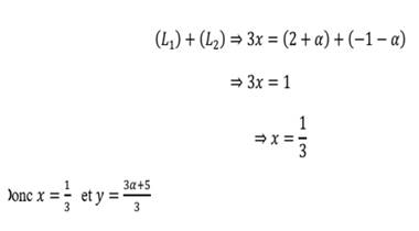
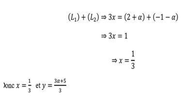
Trouvons les valeurs de x et y en fonction de #955;
L1+2L2 =gt;3y=1+#955;-4-4#955; =-3-3#955; =gt;y=-1-#955;
x=y+2+2#955;=-1-#955;+2+2#955;=1+#955;
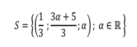
La résolution de (S’) conduit à la solution définie par: x=1+#955;; y=-1-#955;; z=#955; (#955; #1013; IR)
Le système (S) a donc une inimité de solutions constituées des triplets (1+#955;; -1-#955;; #955;)
EXERCICE I:
1. Résoudre par substitution, puis par la méthode du pivot de Gauss le système :

2. Résoudre par substitution, puis par la méthode du pivot de Gauss le système :

3. Résoudre par substitution, puis par la méthode du pivot de Gauss le système :

5. Résoudre

6.
![]()
EXERCICE II:
Anna se rend à la banque et retire au guichet une somme de 725€.La banquière lui remet45 billets dont :
- des billets de 5€
-des billets de 10€
-des billets de 20€
A la sortie de la banque, elle se rend dans un supermarché. Après son passage à la caisse, il lui reste la moitié des billets de 10€, la moitié des billets de 20€, et toujours le même nombre de billets de 5€ et une somme totale de 375€.
Combien Anna avait-elle des billets de 5€,10€ et 20€ à la sortie de la banque?
EXERCICE III:
Un potier fabrique trois types différents A, B,C et D de canaris.
Pour
fabriquer un canari de type A, le potier a besoin de: 40kg
d’argile.60litres d’eau et 15 kg de bois de chauffage.
Pour fabriquer un canari de type B, le potier a besoin de: 18kg
d’argile.20litres d’eau et 7 kg de bois de chauffage.
Pour fabriquer un canari de type C, le potier a besoin de: 70kg d’argile.110litres d’eau et 35 kg de bois de chauffage
En une semaine, le potier utilise pour la fabrication de ses canaris:3656kg d’argile,5040litres d’eau et 1494 kg de bois de chauffage
Déterminer le nombre de canaris de chaque type que ce potier fabrique ainsi en une semaine.
Merci de votre visite
Laissez un commentaire