CORRIGES :
EXERCICE I :
1.

Par substitution :
De la deuxième équation (L2), on tire x en fonction de y et z
On remplace x dans les deux autres
=>
.
![]()
![]()
x=11+2y-2z
< = > x=11+2(-2)-2(3)=1 =>. S=![]()
Par le pivot de Gauss
Choisissons L1 comme pivot
Faisons L1-2L2 =>
![]()
0x + 7y - 5z= -29 =>7y – 5z= -29
Faisons 5L1-2L3=>
![]()
0x + 13y - 13z= -65 =>13y – 13z= -65
Le système devient :

Faisons 13L’2-7L’3=>
![]()
.–26z=-78
Le
système devient :

De –26z=-78 => z=3
De 7x-5z=-29 =>7y-5(3)=-29 => 7y=-14 =>y=-2
De 2x +3y-z=-7 => 2x + 3(-2)-3=-7=>2x=2=>x=1
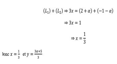
4.
![]()


5.



EXERCICE II :
Soient :
x : le nombre de billets de 5€
y : le nombre de billets de 10€
z : le nombre de billets de 20€
Valeur totale des billets sortis de la banque :
5x + 10y +20z=725
Nombre total des billets :
x+y+z=45
Valeur totale des billets sortis de du supermarché : 5x + (10)(y/2) +(20)(z/2) =375
=>
Choisissons L1 comme pivot
L1-L2 donne(x+y+z=45)-(x+2y+4z=145)
=> -y-3z=-100
L1-L3 donne (x+y+z=45) - (x+y+2z=75) =>-z=-30
Le système devient 
De -y-3z=-100 <=>-y-3(30) =-100=> y=10
De x+y+z=45<=>x +10 +30=45=>x=5
EXERCICE III:

S={(38 ;72 ;12)}
En une semaine, le potier fabrique 38 canaris, de type A,72 canaris de type B et 12 canaris de type C.