On admet l’existence d’un nombre imaginaire noté i tel que i2=-1
On appelle nombre complexe tout nombre de la forme 𝑎 + 𝑖𝑏
𝑜ù 𝑎 ∈ ℝ, 𝑏 ∈ ℝ
L’ensemble des nombres complexes est noté ℂ.
Exemple: 2+3i, Ѵ2-6i.
Propriété:
Tout nombre complexe z s’écrit de façon unique sous la forme 𝑧 = 𝑎 + 𝑖𝑏 ;
La forme 𝑎 + 𝑖𝑏 est appelée forme algébrique du nombre complexe.
· Le nombre réel 𝑎 est appelé la partie réelle du complexe,
On note : 𝑎 = ℛ𝑒(𝑧).
· Le nombre réel 𝑏 est appelé la partie imaginaire du complexe,
On note : 𝑏 = ℐ𝑚(𝑧).
Exemples :
• 𝑧 = 3 − 2𝑖 est un nombre complexe de partie réelle 3 et de partie imaginaire −2.
• 𝑧 = 5𝑖 est un nombre complexe de partie réelle 0 et de partie imaginaire 5 ,
Remarque:
-Un nombre complexe dont la partie réelle est nulle est un nombre complexe imaginaire pur. L’ensemble des nombres complexes imaginaires purs est l’ensemble noté 𝑖ℝ.
Exemple: 𝑧 = 5𝑖 est un complexe imaginaire pur.
-Un nombre complexe dont la partie imaginaire est nulle est un nombre réel.
On a: ℝ ⊂ ℂ 𝑒𝑡 𝑖ℝ ⊂ ℂ.
Le seul nombre complexe à la fois réel et imaginaire pur est le nombre nul 0.
Egalite:
Deux nombres complexes z et z’ sont égaux si et seulement si:
-ils ont la même partie réelle
-ils ont la même partie imaginaire
z=a+ib
z’=a’+ib’
z=z’ => a=a’ et b=b.
Operations dans ℂ
Soient 𝑧 = 𝑎 + 𝑖𝑏 𝑒𝑡 𝑧 ′ = 𝑎 ′ + 𝑖𝑏′ deux nombres complexes donnés.
• 𝑧 + 𝑧 ′ = (𝑎 + 𝑎 ′ ) + 𝑖(𝑏 + 𝑏 ′ ) ;
• 𝑧 × 𝑧 ′ = (𝑎𝑎 ′ − 𝑏𝑏 ′ ) + 𝑖(𝑎𝑏 ′ + 𝑎 ′𝑏).
• Pour tout nombre complexe non nul, (𝑎; 𝑏) ≠ (0; 0) et 1
.
• Soient 𝑧 𝑒𝑡 𝑧′ deux nombres complexes tels que 𝑧 ≠ 0

Exemples: Soient deux complexes z=2+3i et z’=4-i
· z+z’=(2+3i) +(4-i)=(2+4) +(3i-i)=6 +2i
· zxz’=(2+3i)( 4-i)=8-2i+12i-3i2=8-2i+12i+3=11+10i.
·
.
Soit un nombre complexe 𝑧 tel que 𝑧 = 𝑎 + 𝑖𝑏 𝑜ù 𝑎 ∈ ℝ, 𝑏 ∈ ℝ .
Le nombre complexe opposé de z est le nombre complexe noté -𝑧 tel que:
-z = -𝑎 − 𝑖𝑏.
Exemples :
· z=1+i => -z=-1-i
· z=5-3i => -z=5+3i
Soit un nombre complexe 𝑧 tel que 𝑧 = 𝑎 + 𝑖𝑏 𝑜ù 𝑎 ∈ ℝ, 𝑏 ∈ ℝ .
Le nombre complexe conjugué de z est le nombre complexe noté 𝑧̅ tel que:
𝑧̅ = 𝑎 − 𝑖𝑏.
Exemples :
· z=1+i => 𝑧̅=1-i
· z=5-3i => 𝑧̅=5+3i
Le module du nombre complexe
𝑧 = 𝑎 + 𝑖𝑏 est le nombre réel positif noté |𝑧| tel que:
![]()
![]()
Exemple:
.
Propriétés
Soit (𝑧; 𝑧 ′ ) ∈ ℂ × ℂ, 𝑛 ∈ ℕ :
(i). Si 𝑧 = 𝑎, 𝑎 ∈ 𝐼𝑅 𝑎𝑙𝑜𝑟𝑠 |𝑧| = |𝑎|.
(ii). Si 𝑧 = 𝑖𝑏 , 𝑏 ∈ 𝐼𝑅 𝑎𝑙𝑜𝑟𝑠 |𝑧| = |𝑏|.
(iii). |𝑧 | = |−𝑧| = |𝑧|; |𝑧 × 𝑧′| = |𝑧|.|𝑧′|; |𝑧 𝑛| = |𝑧| 𝑛 .
(iv).
Pour 𝑧 ≠ 0, | 𝑧′ 𝑧 | = |𝑧′| |𝑧|.
;
(v). |𝑧 + 𝑧′| ≤ |𝑧| + |𝑧′| (inégalité triangulaire).
(vi). |𝑧| 2 = 𝑧 × 𝑧 = (ℛ𝑒(𝑧)) 2 + (ℐ𝑚(𝑧)) 2
Le plan est muni d’un repère orthonormé direct (𝑂; 𝑢⃗ , 𝑣⃗ ) ; on l’appelle aussi plan complexe.
➢ A tout nombre complexe 𝑧 = a + 𝑖b on associe le point 𝑀(a; b) du plan.

Réciproquement à tout point 𝐴(𝑎; 𝑏) du plan on associe le nombre complexe 𝑧0 = 𝑎 + 𝑖𝑏. On établit ainsi une bijection entre ℂ 𝑒𝑡 𝒫 (plan). Le nombre complexe 𝑧 = a + 𝑖b est appelé affixe du point 𝑀. On note 𝑧𝑀.
Le point 𝑀(a; b) est le point image du nombre complexe 𝑧 = a + 𝑖b . On note M(z) .
➢ On associe également à chaque vecteur 𝑤⃗ (𝑎; 𝑏) du plan le nombre complexe 𝑧 = 𝑎 + 𝑖𝑏 appelé affixe du vecteur 𝑤⃗ .
On note 𝑧𝑤⃗= 𝑎 + 𝑏𝑖. Le vecteur 𝑤⃗ (𝑎; 𝑏) est le vecteur image du nombre complexe 𝑎 + 𝑖𝑏.
• (𝑂, 𝑢⃗ ) est appelé l’axe réel ;
• (𝑂, 𝑣⃗ ) est l’axe imaginaire.
Le plan complexe est muni du repère orthonormé direct (𝑂; 𝑢⃗ , 𝑣⃗ ).
Dans le plan complexe muni d’un repère orthonormé direct (𝑂; 𝑢⃗ , 𝑣⃗ ), soit 𝑧 ∈ ℂ ∗ d’image M.
Un argument du nombre complexe z est une mesure en radian de l’angle orienté (⃗𝑢 ̂;𝑂𝑀⃗) .

Remarques :
- Un nombre complexe non nul possède une infinité d'arguments de la forme arg(z) + 2kπ, k ∈ ℤ.
On note:
arg(z) modulo 2π ou arg(z) [2π].
-Tout nombre complexe non nul 𝑧 admet un unique argument appartenant à l’intervalle] −𝜋; 𝜋] appelé argument principal et noté 𝐴𝑟𝑔(𝑧).
![]()


Propriétés
Soient (𝑧; 𝑧 ′ ) ∈ ℂ ∗ × ℂ ∗ , 𝑛 ∈ ℕ :
o arg ( 1/ 𝑧 ) = arg(𝑧 ) = − arg(𝑧) + 2𝑘𝜋, 𝑘 ∈ ℤ
o arg(𝑧 × 𝑧 ′ ) = arg(𝑧) + arg(𝑧 ′ ) + 2𝑘𝜋, 𝑘 ∈ ℤ
o arg(𝑧 𝑛) = 𝑛. 𝑎𝑟𝑔(𝑧) + 2𝑘𝜋, 𝑘 ∈ ℤ
o arg ( 𝑧′/ 𝑧 ) = arg(𝑧 ′ ) − arg(𝑧) + 2𝑘𝜋, 𝑘 ∈ ℤ.
Exemple:
Soit z= 3 + 3i. Alors |z| = 3√2


arg (z) = π/4 [2π]
.

Définition
Soit 𝑧 = 𝑎 + 𝑖𝑏 un nombre complexe non nul ;
𝑟 = |𝑧| 𝑒𝑡 𝜃 un argument de z.
z s’écrit de façon unique sous la forme : 𝑧 = 𝑟(cos𝜃 + 𝑖 sin𝜃).
Cette écriture est appelée la forme trigonométrique du nombre complexe z.
Exemple:
Détermine la forme trigonométrique du nombre complexe 𝒛 = −√𝟑 + 𝒊.
|𝒛| = 𝟐 ;
Soit 𝜑 un argument de 𝑧,
cos(𝜑) = −√3/ 2
sin(𝜑) = 1 /2 on en déduit qu’un argument de z est 5𝜋/ 6
La forme trigonométrique de 𝑧 est :
𝑧 = 2(cos( 5𝜋 /6 ) + 𝑖 sin( 5𝜋/ 6 )).
Remarques :
➢ Pour déterminer la forme trigonométrique d’un nombre complexe on calcule d’abord le module de 𝑧 puis un argument de 𝑧.
➢ La forme trigonométrique d’un complexe est bien indiquée pour déterminer les produits, les quotients ou les puissances d’un nombre complexe.
Définition
Soit 𝑧 un nombre complexe non nul de module 𝑟 et d’argument 𝜽 .
On appelle forme exponentielle de 𝑧 l’écriture:
𝑧 = 𝑟𝑒 𝑖𝜽
Exemple:
2 + 2𝑖 = 2√2𝑒 𝑖 𝜋/ 4 ;
4𝑖 = 4𝑒 𝑖 𝜋/ 2 ;
5 = 5𝑒 𝑖0.
Propriété
Soient 𝑧 = 𝑟𝒆 𝒊𝜽 𝑒𝑡 𝑧 ′ = 𝑟′𝒆 𝒊𝝋 deux nombres complexes non nuls.
(i) 𝑧 ′ = 𝑧 ⇔ 𝑟 ′ = 𝑟 et 𝜑 = 𝜃 + 2𝑘𝜋, 𝑘 ∈ ℤ
(ii) 𝑧 = 𝑟𝒆 −𝒊𝜃 ; 𝟏/ 𝒛 = (𝟏 /𝒓 ) 𝒆 −𝒊𝜽 .
(iii) 𝑧 ′ × 𝑧 = 𝑟𝑟 ′𝑒 𝑖(𝜃+𝜑) .
(iv) Pour tout 𝑛 ∈ ℕ, 𝑧 𝑛 = 𝑟 𝑛𝒆 𝒊𝒏𝜽 .
(v) 𝑧′ /𝑧 = 𝑟′ /𝑟 𝒆 𝒊(𝝋−𝜽)
Remarque:
Ø Soit z un nombre complexe de module r et d’argument θ alors on peut aussi écrire:
z=[r,θ]
Ainsi, soient z=[r.θ] et z’=[r’,θ’]
· z.z’=[r.r’,θ+θ’]
· z/z’=[r/r’,θ-θ’]
· zn=[rn,nθ]
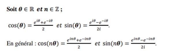
Soit 𝜃 ∈ ℝ 𝒆𝒕 pour tout 𝑛 ∈ ℤ .
On a :
(cos𝜃 + 𝑖 sin𝜃) 𝑛 = cos(𝑛𝜃) + 𝑖 sin(𝑛𝜃).
On appelle cette propriété la formule de Moivre.

Applications:


Rappels:
-Binôme de Newton: utile pour déterminer les coefficients binomiaux (exemple ci-dessus:1,-3,3,-1)

![]()
-Triangle de Pascal: utile pour déterminer les coefficients binomiaux

Resolution d’équations dans ℂ
Racines carrées d’un nombre complexe.
Définition
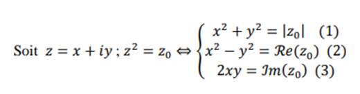
Soit un nombre complexe 𝑧0, on appelle racine carrée du complexe, 𝑧0 tout nombre complexe z tel que :
𝑧 2 = 𝑧0
Méthode:
Soit un nombre complexe z=x+iy
On développe; z2=( x+iy)2=x2+y2 -2ixy
Par identification, on a:

Exemple: Déterminons les racines carrées de:Ѵ3+i
Il suffit de déterminer un complexe z tel que z2= Ѵ3+i
On
a: 
On résout le système et on trouve :
=>


Définition
Soit un nombre complexe z0 ≠ 0
𝑒𝑡 𝑛 ∈ ℕ 𝒂𝒗𝒆𝒄 𝒏 ≥ 𝟐 .
On appelle racine n-ième de tout nombre complexe 𝑧 tel que:
𝑧 𝑛 = z0
Propriété 1
Soit z0 = 𝑅𝑒 𝑖𝜃 ; les racines n-ième de z0 sont:
𝑧𝑘 =
× 𝑒 𝑖 𝜃+2𝑘𝜋 𝑛 𝑎𝑣𝑒𝑐 𝑘 ∈ {0; 1; … ; 𝑛 − 1}.
Propriété 2
Les
racines n-ième d’un nombre complexe sont les affixes des sommets d’un polygone
régulier de n côtés inscrit dans un cercle de rayon
.
Propriété
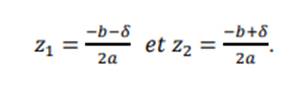
Soit 𝑎, 𝑏 𝑒𝑡 𝑐 sont des nombres complexes avec 𝑎 ≠ 0. Soit ∆= 𝑏 2 − 4𝑎𝑐. Si 𝛿 est une racine carrée de Δ, alors les solutions de l’équation 𝑎𝑧 2 + 𝑏𝑧 + 𝑐 = 0 sont :
Méthode:
-On calcule le discriminant Δ
-on détermine les racines carrées de Δ suivant que Δ est réel ou non
-on calcule les solutions.
Exemple: soit a résoudre dans C l’équation z2+(2+3i)z-2(1-2i)=0
Δ=b2-4ac=(2+3i)2-4(1)(2(1-2i))=3-4i
Cherchons les racines carrées de 3-4i

On trouve les deux racines carrées du discriminant: (2-i) et –(2-i)


EXERCICE I: Ecrire sous la forme algébrique les nombres complexes suivants:
a)z1=(1+3i)-(2+i)
b)z2=(Ѵ3 +2Ѵ2i)-(3+Ѵ2i)
c)z3=(Ѵ3 +2Ѵ2i)(3+Ѵ2i)
d)z4=(1+3i)/(2+i)
EXERCICE II:
1. Ecrire sous la forme algébrique les nombres complexes suivants:
a)z1=(8i-1)/(2-3i)
b)z2=2i-5/i
c)z3=(1+i)2/(2-i)2
d)z4=(4-i)/(2+3i)-i/(3+i)
2. On donne les nombres complexes z1 et z2 tels que:
z1=(5-i)/(3+2i) et z2=(5+i)/(3-2i)
Calculer:z1+z2;z1-z2 et conclure.
EXERCICE III:
1.Calculer les modules et les arguments des nombres complexes suivants:
a)z1=1+i
b)z2=Ѵ3 +i
c)z3=1/3 +iѴ3/3
2.En déduire l’ecriture sous forme trigonométrique de z1, z2 et z3
EXERCICE IV:
1.Calculer les modules et les arguments des nombres complexes suivants:
a)z1=(Ѵ6 -iѴ2)/2
b)z2=1- i
c)z3=z1/z2
2.Deduire les valeurs exactes de cosπ/12 et sinπ/12
EXERCICE V: On donne les nombres complexes suivants:
z1=-1-i
z2=1/2 +iѴ3/2
1.Ecrire z1/z2 sous forme algébrique.
2.Ecrire z1/z2 sous forme trigonométrique.
3.Deduire de la question précédente les valeurs de cos11π/12 et sin11π/12.
EXERCICE VI
1. Calculer les racines carrées de
i, 3 − 4 i.
2. Résoudre les équations : z 2 + z − 1 = 0,
et z2+z+(1-i)/4.
3. Résoudre l’équation
z 2 + (i− Ѵ2)z − i Ѵ2 = 0,
puis l’équation Z 4 + (i− Ѵ 2)Z 2 − i Ѵ2 = 0.
4. Montrer que si P(z) = z 2 + bz + c possède pour racines z1 , z2 ∈ C alors z1 + z2 = −b et z1 · z2 = c.
5.Trouver les paires de nombres dont la somme vaut i et le produit 1.
EXERCICE VII:
1. Mettre les nombres suivants sont la forme exponentielle : 1 + i, Ѵ3 − i, 1/ (Ѵ 3−i) , ( Ѵ3 − i) 2028.
2. Calculer les racines 5-ième de i.
3. Calculer les racines carrées de
Ѵ3 /2 + i /2 de deux façons différentes.
En déduire les valeurs de cos π /12 et sin π /12 .
4. -Développer cos(4θ);
-linéariser cos5 θ ;
EXERCICE VIII:
Le plan complexe est muni d’un repère orthonormé direct (O ;⃗𝑢 ,⃗𝑣 ). Dans chaque cas, détermine et construis l’ensemble des points M d’affixe z vérifiant la condition donnée :
a) |𝑧 − 2𝑖| = 3
b) |𝑧 − 1 + 𝑖| = |𝑧 + 1 + 3𝑖|.
c) |2𝑖𝑧 − 3 + 2𝑖| = |𝑧 − 2|.
d) arg(𝑧 − 1 − 𝑖) ≡ 𝜋 6 [2𝜋]