. Les acides α-aminés sont des composés organiques qui
comportent une fonction acide carboxylique et une fonction amine liées au même
atome de carbone.
Formule générale :

|
|
Groupe fonctionnel acide α-aminés :

La fonction acide carboxylique est plus réactive que la fonction amine. Elle constitue donc la fonction principale. Les acides α-aminés sont alors désignés comme des dérivés substitués des acides carboxyliques. Pour les nommer, on attribue le numéro 1 à l’atome de carbone du groupe –COOH ; le groupe –NH2 considéré comme substituant est appelé groupe amino. Il est toujours lié à l’atome de carbone numéro 2.
Exemples : acide 2-aminoethanoique
![]() |
La plupart des acides aminés portent des noms usuels et des abréviations officielles trois lettres. Ainsi, les composés cités ci-dessous portent dans l’ordre les noms et les abréviations suivants : glycine (gly), alanine (ala) et valine (val).
Exemples :

La présence simultanée d’une fonction acide carboxylique –COOH capable de libérer un proto H+, et d’une fonction amine basique capable de capter un proton H+ au sein d’une molécule α-aminé, conduit à la neutralisation intramoléculaire. Le transfert d’un proton H+ à l’intérieur de la même molécule aboutit à la formation d’un ion dipolaire (comportant une charge positive et une charge négative) appelé Amphion ou zwitterion.

Il est plus approprié de présenter les acides α-aminés à l’état pur les sous forme d’Amphion. Cette espèce chimique est globalement électriquement neutre. Dans l’eau pure, les acides α-aminés existent pratiquement sous forme d’Amphion.
-L’amphion possédant un ion carboxylate -COO- peut capter un proton H+ et devenir
cation
Donc l’amphion est une base au sens de Bronsted.
-L’Amphion possédant un ion carboxylate -NH3+ peut céder un proton H+ et devenir
anion
Donc L’Amphion est un acide au sens de Bronsted.
L’amphion présente à la fois un caractère acide et un
caractère basique : C’est un amphotère.
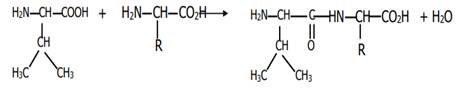
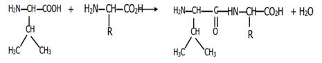
Exemple : le dipeptide ALAGLY

·
Par convention, pour représenter un dipeptide, on écrit à gauche le symbole de
l’acide α-aminés qui a la fonction amine libre.
· Pour désigner un polypeptide, on nomme successivement, par leurs abréviations, tous les acides α-aminés dont il dérive en commençant par l’extrémité de la chaîne qui porte le groupe-NH2 libre (acide α-aminé N terminal) et en terminant par celle qui porte le groupe -COOH libre (acide α-aminé C terminal)
Hydrolyse de la liaison peptidique
L’hydrolyse d’un
dipeptide donne les deux acides α-aminés de départ qui ont permis
d’obtenir le
dipeptide.

·
Caractérisation de la liaison peptidique
La réaction de Biuret permet de caractériser la liaison peptidique dans des
molécules (molécules ayant au moins deux liaisons peptidiques).
·
Les protéines
Un dipeptide possède comme un acide α-aminé, deux groupes lui
permettant de former des nouvelles liaisons peptidiques avec deux autres
molécules d’acides α-aminés. On peut obtenir ainsi un tripeptide, puis un
tétrapeptide, etc … Si on continue la condensation, on obtiendra des
polypeptides composés de plusieurs acides α-aminés reliés entre elles par
des liaisons peptidiques. Quand le nombre d’acides α-aminés est encore
plus important on ne parle plus de polypeptides mais de protéines.
Comment procéder pour obtenir un dipeptide donné à partir de deux acide α-aminés N ?
-On bloque les groupes fonctionnels qui ne doivent pas réagir.
-On active les groupes qui doivent réagir.
-On régénère les fonctions bloquées lorsque la liaison peptidique a été réalisée.
Exemple : Réalisons la liaison Ala-Gly (et non Gly-Ala)
Pour bloquer la fonction amine, on la transforme en amide en utilisant un chlorure d’acyle.
NH2-CH(CH3)-COOH +CH3-COCl →CH3-CO-NH-CH(CH3)-COOH +HCl
Pour activer la fonction acide, on la transforme en chlorure d’acyle plus réactif.
CH3-CO-NH-CH(CH3)-COOH +SOCl2→ CH3-CO-NH-CH(CH3) - COCl +HCl
Pour bloquer la fonction acide, on le transforme en ester par action sur un alcool.
CH2(NH2)-COOH + C2H5-OH → CH2(NH2)-COO(C2H5) + H2O
En resume,
CH3-CO-NH-CH(CH3) - COCl + H-HN-CH2-COO(C2H5) → CH3-CO-NH - CH(CH3) - CO-NH-CH2 -COO(C2H5) + HCl
Il reste à regénérer les fonctions bloquées.
Carbone asymétrique
Un atome de carbone tétraédrique est dit asymétrique s’il est relié à quatre atomes ou groupe d’atomes tous différents.
A l’exception de la glycine, tous les acides α-aminés renferment dans leurs molécules au moins un carbone asymétrique
Conséquences de la présence d’un carbone asymétrique dans une molécule : chiralité
La présence du carbone asymétrique noté C* confère à la molécule deux formes spatiales ou configurations non superposables. Elles se distinguent l’une de l’autre comme un objet asymétrique de son image dans un miroir plan. Ces deux formes spatiales différentes d’un même composé sont appelées stéréo-isomères.

Une molécule qui n’est pas superposable à son image dans un miroir plan est dite chirale. Une molécule qui n’est pas chirale est achirale. Des paires de stéréo-isomères sont appelés énantiomères.
On appelle énantiomères un couple isomères de configurations non superposables, images l’un et l’autre dans un miroir. Une molécule chirale existe sous deux formes énantiomères. Un mélange racémique est un mélange en quantités égales, de deux énantiomères.
Les énantiomères ont des propriétés physiques et chimiques identiques à deux exceptions près :
-ils peuvent réagir de manière différente avec d’autres composés chiraux.
-ils sont optiquement actifs c.-à-d. ils sont doués d’un pouvoir rotatoire.
Une substance chirale à la propriété de faire tourner d’un angle α le plan de polarisation de toute lumière polarisée qui la traverse :
·Quand la rotation a lieu dans le sens de rotation des aiguilles d’une montre, la substance est dite dextrogyre, l’angle α est compté positivement.
· Quand la rotation a lieu dans le sens inverse de rotation des aiguilles d’une montre, la substance est dite lévogyre, l’angle α est compté négativement.
Conclusion : La plupart des acides aminés sont des molécules chirales car ils contiennent un carbone asymétrique. Ce carbone, centre de la chiralité est lié à quatre substituants différents. Seule la glycine ne comporte pas de carbone asymétrique et n'est donc pas une molécule chirale.
Le principe de la
représentation de Fischer est le suivant :
-On écrit verticalement la chaîne carbonée principale
en plaçant en haut le carbone ayant le plus petit indice en nomenclature
(carbone le plus oxydé).
-Les liaisons dirigées vers l’observateur sont placées sur l’horizontal.
-Les liaisons dirigées vers l’arrière sont placées sur la verticale.
-Au croisement de la verticale et de l’horizontal c’est le C asymétrique (C*).

EXERCICE I :
L’acide aspartique est un acide ɑ-aminé de formule brute : C4H7O4N.
1. Ecrire sa formule semi-développée.
2. Citer tous les groupes fonctionnels présents dans cette molécule.
3. Donner son nom en nomenclature systématique.
EXERCICE II :
Un acide ɑ-aminés a pour formule brute : C5H11O2N.
1. Ecrire toutes les formules semi-développée possibles. Donner leurs noms.
2. Parmi les isomères trouvés, quels sont ceux dont les molécules sont chirales ?
3. Donner la représentation de Fisher des deux énantiomères. Préciser la configuration de chaque énantiomère.
EXERCICE III :
On réalise la synthèse d’un dipeptide à partir de la glycine et d’un acide ɑ-aminé X.
1. Ecrire la formule générale d’un acide ɑ-aminé.
2. La masse molaire du dipeptide est 132g.mol-1. Déterminer la nature du radical de X.
3. Donner la formule semi-développée et le nom de X.
Sa molécule est-elle chirale ? Pourquoi ?
EXERCICE IV :
On considère un acide ɑ-aminé A de masse molaire M =131g.mol-1, dont le groupe R est un radical alkyle saturé à une seule ramification.
1. Déterminer la formule brute de A.
2. La molécule de A ne comporte qu’un seul atome de carbone asymétrique. En déduire sa formule semi-développée. Préciser son nom en nomenclature systématique.
3. Pourquoi peut-on dire que A présente un caractère amphotère ?
EXERCICE V :
Lors d’une séance de préparation d’un devoir de niveau, votre professeur vous demande dans un exercice d’identifier un acide α-aminé B qui sert de réactif dans la synthèse d’un composé organique D. Au cours de cette synthèse, l’acide α-aminé B de formule 𝑅𝐶𝐻(𝑁𝐻2 )𝐶𝑂𝑂𝐻 où R est un groupe alkyle saturé , réagit avec la valine de formule semi-développée 𝐶𝐻3𝐶𝐻(𝐶𝐻3 )𝐶𝐻(𝑁𝐻2 ). Cette réaction conduit à un dipeptide dont la masse molaire est 𝑀 = 188𝑔/𝑚𝑜𝑙 Les masses molaires atomiques en g/mol des éléments chimiques intervenant dans les formules sont : H (1) ; C (12) ; O (16) ; N (14). Ton voisin qui était appelé à résoudre l’exercice au tableau, peine à le faire. Ton professeur te désigne pour le remplacer.
1. Donne :
1.1.Le nom systématique de la valine.
1.2.Le nom du type particulier de la liaison rencontrée dans le composé D
2. Explique ce qu’il faut faire pour obtenir qu’un seul dipeptide, celui où B est l’acide α-aminé terminal.
3. Ecris l’équation de la réaction chimique entre la valine et le composé D.
4. Détermine le groupe alkyle R du composé B.
5. Identifie B (formule semi-développée et nom).
Merci de votre
visite
Laissez un commentaire