CALCULS DANS IR
ENSEMBLE IR DES RÉELS
ℕ désigne
l’ensemble des nombres entiers naturels exemple :0 ;1 ;2 …
ℤ désigne
l’ensemble des nombres entiers relatifs : ce sont des nombres entiers naturels
précédés ou pas
du signe + ou -. Exemples : -1000 ; -1 ;
0 ; 1 ; 14
𝔻 désigne
l’ensemble des nombres décimaux. Un nombre décimal relatif est un
nombre décimal précédé du signe moins ( ) ou du signe ( ). Lorsque le nombre est précédé du signe moins, il est
dit négatif. Le nombre est positif lorsqu’il est précédé du signe plus.
ℚ désigne
l’ensemble des nombres rationnels. Un nombre rationnel est un nombre pouvant se
mettre sous
la forme
où
𝑎
𝑒𝑡 𝑏
sont des nombres entiers relatifs.
Certains nombres ne sont pas des nombres
rationnels ils sont dits irrationnels
Exemples
: √2; √7; √27; 𝜋
L’ensemble ℝ des nombres réels est l’ensemble constitué
des nombres rationnels et des nombres irrationnels.
Remarque : ℕ ⊂ ℤ ⊂ 𝔻 ⊂ ℚ ⊂ ℝ
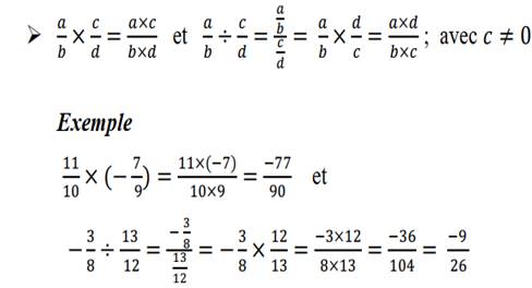
FRACTIONS
Opérations sur les fractions


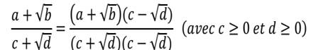
Propriété: Pour tout réels a, b, c et d avec b
et d différents de zéro
a/b =c/d alors ad=bc
Règles
de priorités
Dans une suite
d’opérations, l’ordre de priorité est le suivant :
- Les parenthèses : elles indiquent les calculs à effectuer en premier. On
commence les calculs par ceux qui sont dans les parenthèses les plus
intérieures.
-Les puissances.
-La multiplication et la division.
-L’addition et la soustraction.
PUISSANCE
v Soient a et b deux nombres réels, m et n
deux nombres entiers. On a : 𝑎0 = 1 𝑎𝑣𝑒𝑐 𝑎 ≠ 0;
· 𝑎𝑛 = 𝑎 × 𝑎 × 𝑎 × … × 𝑎 (𝑛 𝑓𝑎𝑐𝑡𝑒𝑢𝑟𝑠);
· 𝑎-𝑛 =
. ( ≠ 0).
· 𝑎𝑛 × 𝑎𝑚 = 𝑎 𝑛+𝑚;
· (𝑎𝑛)𝑚 = 𝑎 𝑛×𝑚 ;
· (𝑎 × 𝑏)𝑛 = 𝑎𝑛 × 𝑏𝑛
· (-a)n=an
si n est pair ou –an si n est impair
· (
)n =![]()
VALEUR ABSOLUE
Soit a un nombre réel quelconque, le plus grand des deux nombres
réels –a et +a est appelé valeur absolue de a.
On note : │a│
On lit : « valeur
absolue de a»
Exemples : │-7│=+7 et │+7│=+7
│Ѵ7. - 2│ =Ѵ7 -2
et
│2-Ѵ7│=Ѵ7-2
Propriétés :
·
│a│![]()
·
│a│=0 <=> a=0
·
│a│=│-a│
·
│a│= -a si a<0. ou a si a>0
·
│a│=│b│ <=> a=b ou a=-b
·
│axb│=│a│x│b│
·
Si b est #0, │
│=
·
Si b est #0, │
│=![]()
·
│a+b│
│a│+│a│
·
│a│
-r
a
+r
NOTIONS D’INTERVALLES
Un
intervalle est un ensemble de tous les nombres réels compris entre deux valeurs
a et b appelées bornes de l’intervalle.
a et b pouvant être moins l’infini (←)
ou plus infini (→)
Un intervalle s’écrit entre deux
crochets.
Exemples :
·
Intervalle
ouverte :]a,b[
<= >
a < x < b
· Intervalle fermée :[a,b]
<=
> a≤
x < b
·
Intervalle
semi-ouverte ou semi-fermée :
]a,b] < = > a <
x ≤b
[a,b[ <= > a ≤ x < b
L’amplitude de l’intervalle
est : (b-a)/2
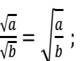
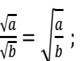
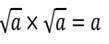
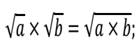
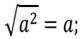
RACINES CARRÉES
v Soient a et b deux nombres réels strictement positif. On a :
Ø
Ø

Ø
![]()
Ø
![]()
Ø
![]()
Ø

Remarque : généralement, pour tous nombres
réels positifs 𝑎 𝑒𝑡 b ,![]()
Ѵa+b ≠ √𝑎 + √𝑏
COMPARAISONS
Propriétés sur la Comparaison
P1 : Soient a , b et c des nombres
rationnels,
𝑎 – 𝑏 = 0 signifie 𝑎 = 𝑏 ; 𝑎 – 𝑏 < 0 signifie 𝑎 < 𝑏 ; 𝑎 – 𝑏 > 0
signifie 𝑎 > 𝑏
𝑎 < 𝑏 signifie 𝑎 + 𝑐 < 𝑏 + 𝑐
Si 𝑎 < 𝑏 𝑒𝑡 𝑐 > 0 𝑎𝑙𝑜𝑟𝑠 𝑎 × 𝑐 < 𝑏 × 𝑐 ; 𝑆𝑖 𝑎 < 𝑏 𝑒𝑡 𝑐 < 0 𝑎𝑙𝑜𝑟𝑠 𝑎 × 𝑐 > 𝑏 × 𝑐


NOTIONS DE VALEUR APPROCHÉE
Soient x et y deux réels et l un réel
positif,
y est la
valeur approchée de x à l près
signifie que la valeur │x-y│≤ l
On note : x ~ y à l près.
Le nombre l’ est
appelé incertitude de cette valeur approchée.
Exemple : Faisons un encadrement de
à 10-3 près
On sait que : 1,166≤7/6≤,166
1,166 est la valeur approchée
de 7/6 par défaut
a 10-3 près
1,167 est la valeur approchée
de 7/6 par excès a 10-3 près
Remarque :
La connaissance d’un
encadrement de x permet de calculer sa valeur approchée.
Si x est compris entre a et b
(a≤a≤b) alors (b+a)/2 est la valeur
approchée de x à (b-a)/2 près.
Exemple : Calculer la valeur approchée de 7/6 à 10-4
près sachant que 1,166≤x ≤1,167 à 10-3 près
Va =(1,166+1,167)/2 =1,1665 à
(1,167-1,166)/2 = 0,0005 = 5.10-4 près.
1,1665 est la valeur
approchée de 7/6 à
10-4 près
NOTATION SCIENTIFIQUE
Un nombre réel A est exprimé en
notation scientifique lorsqu’il peut s’écrire sous la forme A=a.10p
avec (a ϵ
R et p ε Z) et 1≤│a│≤10
Exemple : 0,0005=5.10-4
Remarque :
Lorsqu’on déplace la virgule vers
la gauche l’exposant augmente : 9,3.10-5=0,93.10-4=0,093.10-3…
Lorsqu’on déplace la virgule vers la droite l’exposant diminue : 0,093.10-3=0,93.10-4=9,3.10-5….
EXERCICES
EXERCICE
I :

EXERCICE
II :

EXERCICE
III :
1.
Ecrire sous la forme a+![]()
R = (Ѵ3+Ѵ2)2 -
(Ѵ3-Ѵ2)2
S = 
2. On pose A =
+![]()
Calculer A2
EXERCICE
IV :
1. Calculer pour a=-3 ;
b=10 et c=4 le nombre 
2. On pose : a=![]()
b=![]()
Calculer ab-1
EXERCICE
V :
On donne :
A=
-
. (a # 0 et a#-1)
B=
C=
1-Ecrire A sous forme de quotient
2-Simplifier B et l’écrire sous forme de
fraction irréductible
3-Donner l’écriture scientifique de C
4-Sachant que 2,645 ≤Ѵ7≤
2,646
Donner un encadrement à 10-4
près de (4-Ѵ7)/7
EXERCICE
VI :
1.Ecrire sous forme d’intervalle
a) -5 ≤ x <7
b) 4≤x≤18
c) 3<x≤8
d) -12≤x<15
e) x>1
f) x< -33
2. Ecrire sous forme d’inégalité
a) x ∈[-2,1]
b) x ∈ ]4,8]
c) x
d) x ∈ [-6,1[
e) x ∈ [-6,→[
f) x ∈ ]←,1]
EXERCICE
VII

EXERCICE
VIII :
1-Soit 3,144 ≤ x ≤ 3,145, Donner la valeur
approchée de x à 10-3 près.
2-Traduire par un encadrement chacun des informations
suivantes :
a)
0,818 est une valeur approchée de 9/11 à 10-3 près.
b)
2,351 est une valeur approchée de A à 2.10-4 près
3-Exprimer en notation scientifique :
a). 16000x350
b). 
CORRIGES :
EXERCICE II :
1)![]()
![]()
![]()
2)
![]()
![]()
3) ![]()
P=![]()
4) 
![]()
EXERCICE III:
1.
=![]()
=![]()
=![]()
=4![]()



2.

11 -

![]()
![]()
EXERCICE IV :
1.

![]()
2.
.
=![]()
=![]()
EXERCICE V :
1.
-
. =
-
=
x
=
-
=
=![]()
2.

3.
.
.![]()
4.
![]()
![]()
<=>

EXERCICE VI :
1.
a) -5 ≤ x
<7 <= >x ∈ [-5,7[
b)4≤x≤18.
<= >x ∈
[4,18]
c)3<x≤8. <= >x ∈ ]3,8]
d)-12<x<15 <= >x ∈ ]-12,15[
e)
x>1<= >x ∈ ]1,
→[
f) x<
-33<= >x ∈ ]←,33[
2.
a) x ∈
[-2,1] <= > -2≤x≤1
b) x ∈ ]4,8]
<= >
4<x≤8
c) x ∈ ]0,10[ <= > 0<x<10
d) x ∈ [-6,1[ <= > -6≤x<1
e) x ∈ [-6,→[ <= > x≥-6
f) x ∈ ]←,1]
<= > x≤1
Merci de votre visite
Laissez un commentaire