DENOMBREMENT
GENERALITES
Cardinal
d’un ensemble fini
Ø
Un ensemble qui n’a aucun élément ou qui possède un
nombre fini d’éléments est ensemble fini.
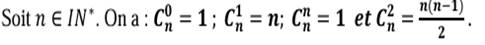
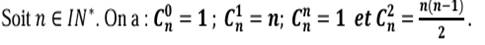
Soit n un entier naturel et A un ensemble.
A= {1,2,3,4…n} est un ensemble fini si on peut compter tous
ses éléments.
Ø
Le nombre d’éléments d’un ensemble fini A est le cardinal de A. On
le note card
(A).
Exemple:
card (A)=n
Propriétés

Inclusion
Soient A, B et E trois ensembles finis.
On dit que A est une partie de B si et seulement si tous les éléments de
A sont aussi éléments de B.

On dit que A est inclus
dans B et on note A
B
Exemple
:
B= (1,2,3,4,5,6.7,8,9,0}
A= (1,2,3,4}
A
B
Complémentaire
Ø
Le complémentaire
de A dans E est l’ensemble des éléments de E qui ne sont pas dans A. On
note:

Exemple
:
E= { a, b, c, d}
A= { a, b }

Réunion
et Intersection des parties d’un ensemble
La réunion de A et B est l’ensemble des éléments de E qui
sont dans A ou dans B. On note: AUB
Exemple :
A={ a, b, c, d}
B={ a, b ,4.5}
AUB
={a,b,c,d,4,5}
L’intersection de A et B est l’ensemble des éléments de E
qui sont à la fois dans A et dans B. On note: A⋂B
Exemple :
A={ a, b, c, d}
B={ a, b ,4.5}
A⋂B= {a, b}
Remarque
:
Deux ensembles A et B sont disjoints si A⋂B= ∅.
(∅
désigne l’ensemble vide)
Propriétés
:

Ø
Soit E un ensemble non vide.
Un ensemble de parties de E forme une partition de E si :
-Elles sont non vides.
-Elles sont deux à deux disjointes.
-Leur réunion est égale à E.
Exemple
:
E : ensemble des lettres de l’alphabet français
A: ensemble des consonnes
B: ensemble des voyelles
A et B forment une partition de E
Ø
Soient A et B deux ensembles non vides. On appelle produit cartésien de A
par B l’ensemble noté A x B et défini par :
AxB= {(a,b); a ϵ A;b ϵ B }.
Exemple
:
A={a,b}
B=(1,2)
AxB={(a,1); (a,2);
(b,1); (b,2)}
Remarque :
Card
(AxB)=Card A x Card B
OUTILS GRAPHIQUES DE DENOMBREMENT
Utilisation
d’un Diagramme de VEEN




A⋂B= ∅.
Utilisation
d’un Tableau a double entrée
Utilisation
d’un Arbre a choix

ANALYSE
COMBINATOIRE
p-uplets
Définition :
Soit E un ensemble fini à n éléments, p un entier naturel non nul.
On appelle p-uplet ou
p-liste d’élément
de E une suite
ordonnée de p éléments de E non nécessairement tous distincts.
C’est un élément del’ensemble:
Ep =E x E x…x E
Propriété :
. Le nombre de p-uplet de E est np
Remarque :
·
Un p-uplet est une disposition ordonnée
dans laquelle un même élément
peut être répété jusqu’à p fois.
·
On utilise les p-uplets dans une épreuve à tirages successifs
avec remise.
·
Deux p-uplets diffèrent soit par la nature des éléments de
E qui le constituent, soit par l’ordre des éléments.
Exemple:
L’épreuve du lancer de dé comporte 6 résultats possibles. On lance le
dé 4 fois et on note les résultats obtenus. Il y a 64=64 résultats
possibles. Le résultat d’un tel évènement est ce qu’on appelle une 4-liste dans
un ensemble a 6 éléments.
Arrangements
Définition :
Soit E un ensemble fini à n éléments, p un entier naturel non nul plus
petit que n. On appelle arrangement de p élément de E, tout p-uplet formés
d’éléments 2 à 2 distincts.
Propriété
: Soit E un ensemble à n
éléments, p un entier naturel non nul plus petit que n. le nombre
d’arrangements de p éléments de E est:

Remarques :
·
Un arrangement est une disposition ordonnée sans
répétition.
·
On utilise les arrangements dans une épreuve à tirage
successifs sans remise.
Notion
de factoriel :

Propriété:

Exemple: On
tire 4 cartes successivement sans remise dans un jeu de 32 cartes. Il s’agit du
nombre d’arrangements de 4 éléments pris dans un ensemble a 32 éléments.

Permutations
Définition:
Soit E un ensemble fini non vide à n éléments. On appelle permutation de E
tout arrangement ou p-uplet sans répétition des n éléments de E.
Remarques.
·
Le nombre de permutations d’un ensemble fini E à n élément
est:

·
Le tirage successif sans remise de n objets parmi n est
assimilable à une permutation des n éléments d’un ensemble.
·
Une anagramme d’un mot dont les lettres sont toutes
distinctes est une permutation des lettres de ce mot.
Exemple:
on donne l’ensemble E={1,2,3} 8n peut former 3! =6 nombres de 3
chiffres.
Combinaisons
Définition
:
On appelle combinaison de p éléments de E toute partie (sous ensemble)
de E ayant p élément.
Propriété
:
Le nombre de combinaison de p éléments d’un ensemble à n éléments
est:

Remarques :
·
Une combinaison est une disposition non ordonnée et sans
répétition.
·
On utilise les combinaisons dans une épreuve à tirages
simultanés.

Exemple: Une
urne contient 6 boules numérotés de 1 à 6. On tire simultanément 2 boules. Il y
a
de
tirages possibles

Propriétés :

Recapitulons
Pour déterminer le nombre de tirages de p éléments d’un ensemble E a n
éléments (p≤n), on peut utiliser le tableau suivant:
Modélisation
|
Les p
éléments sont ordonnes
|
Les p
éléments sont distincts
|
outil
|
Nombre de
tirages
|
Tirages
successifs avec remise
|
oui
|
non
|
p-uplet
|
np
|
Tirages
successifs sans remise
|
oui
|
oui
|
Arrangement
de p éléments de E
|

|
Tirages
simultanées
|
non
|
oui
|
Combinaison
de p éléments de E
|

|
EXERCICES
EXERCICE I: soient
3 ensembles E, A et B
1. Ecrire en extension: A, B, E, AUB, A⋂B, 
2.A et B forment-ils une partition E? pourquoi?
3.Donner card(AUB) et card(A⋂B).
Vérifier que card(AUB)= card(A)+ card(B) - card(A⋂B)
EXERCICE II:
Un restaurant propose sur sa carte 3 entrées, 4 plats de
résistance et 2 desserts.
a) Combien de menus différents composés d’une entrée, d’un plat et d’un
dessert peut-on constituer ?
b) Même question si le dessert de banane est imposé.
EXERCICE
III:
Dans une classe de première littéraire de 50 élèves, 24
élèves ont 16 ans,14 élèves ont 17 ans et les autres ont plus de 17 ans. 23
élèves ont opté pour l’espagnol comme langue vivante II, l’espagnol et les
autres ont opté pour l’allemand comme langue vivante II,13 élèves ont16 ans et
font l’espagnol;10% des élèves ont plus de 17 ans et font l’allemand.
1.Completer le tableau a double entrée suivant:
|
16 ans
|
17 ans
|
>17 ans
|
Total
|
ESP
|
|
|
|
|
All
|
|
|
|
|
Total
|
|
|
|
50
|
2.Quelle est la répartition en âge des élèves qui ne font pas
d’espagnol?
3.Combien d’élèves n’ont pas 16 ans et ne font pas espagnol?
EXERCICE
IV:
Un magasin souhaite faire une promotion sur des lampes de
bureau et de lampes de salon. Ces lampes sont couleur blanche, noire et rouge.
Sur ces 200 lampes,25% sont des lampes de salon. On sait que 30% des lampes
sont blanches. Il y a 60 lampes rouges et parmi elles, 20% sont des lampes de
salon. Le quart des lampes noires est constitué de lampes de salon.
Compléter le tableau a double entrée suivant:
|
Blanche
|
Noire
|
Rouge
|
Total
|
Lampes de bureau
|
|
|
|
|
Lampes de salon
|
|
|
|
|
Total
|
|
|
|
|
EXERCICE V:
1.Determiner le nombre de façons distinctes de ranger 3 livres dans 4
tiroirs sachant que plus d’un livre peuvent être rangés dans un même tiroir.
2.Pour une course impliquant 18 chevaux, déterminer le nombre des 3
premiers chevaux dans l’ordre et sans ex-aequo.
3.Determiner le nombre de façons de ranger 6 voitures en disposant de
10 parkings.
4.Combien de mots deux a deux distincts peut-on former avec les lettres
REGAIN? TABLEAU?
EXERCICE
VI:
On dispose d’un jeu de carte de 32 cartes. Un jeu de 32
cartes est composé de 4 couleurs (Trèfle, Carreau, Cœur et Pique). Dans chaque
couleur il y a 8 cartes.
a) Calculer le nombre de façons de tirer simultanément 4 cartes parmi
32.
b) Déterminer le nombre de combinaisons de 5 cartes ayant exactement 3
As
c) Déterminer le nombre de combinaisons de 5 cartes contenant au plus 3
trèfles.
d) Calculer le nombre de façons de tirer au moins un As.
EXERCICE
VII:
Une classe composée de 18 filles et 16 garçons va élire les
4 délégués. Dans cet exercice, on ne distingue pas les délégués et les
délégués-adjoints.
a) Combien existe-t-il de possibilités pour cette élection ?
b) Emma dit qu’elle ne souhaite pas être élue si Bastien est élu. Dans
ces conditions, combien existe-t-il de possibilités ?
Avez-vous un exercice à proposer
au Forum?Cliquez-ici
Merci de votre visite
Laissez un commentaire