SUITES ARITHMETIQUES ET GEOMETRIQUES
SUITES ARITHMETIQUES
La
suite (un) est une suite arithmétique s’il existe un nombre réel r
tel que pour tout naturel n,
un+1 = un + r
Le réel r est appelé la raison de la suite.
Propriétés :
Pour tout entier naturel n,
un = u0 + nr .
Pour tous entiers naturels n et p ,
un = up + ( n –
p ) r
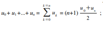
Somme de n termes consécutifs d’une suite arithmétique
Exemple
:
On
pose : Sn=1+2+3+…+n
Calculons
la somme Sn

·
Si
on a n+1 termes :

Si
le premier terme est u0 et la raison est r

D’une
façon générale, la somme Sn des premiers termes d’une suite arithmétique
vérifie :
Sn= up + up+1 + · · · + un

SUITES GEOMETRIQUES
La suite (un) est une suite géométrique
s’il existe un nombre réel q tel que pour tout naturel n ,
un+1 = qun .
Le réel q est appelé la raison de la suite.
Propriétés :
Soit une suite géométrique de premier terme u0
et de raison q. alors pour tout entier naturel n , on a :
un = u0 × q n
.
Pour
tous entiers naturels n et p ,
un = up× q (n
– p) .
Somme de n termes consécutifs d’une suite géométrique
Soit
un une suite géométrique de premier terme u0 et de raison q
Sn=u0 + u1
+ · · · + un

Soit
un une suite géométrique de premier terme up et de raison q
Sn= up+up+1+…..+un

p
étant le nombre de terme de la somme (n-p+1)
➪ D’une façon générale,
la somme Sn des premiers termes d’une suite géométrique vérifie :

Limites
Soit q un reel positif
· ![]()
· ![]()
· ![]()
EXERCICES
EXERCICE I :
Un
est une suite arithmétique de raison r et de premier terme u0.
Sachant que u3=5 et S4=15,
1.Calculer
r et u0
2.Deduire
le terme général de un
3.Calculer

EXERCICE II :
On considère les suites
un et vn définies par :
![]()
1.Demontrer que vn est une suite
géométrique dont on déterminera le premier terme et la raison.
2.Exprimez
vn en fonction de n
3.Calculer
la limite de sn quand n→∞
EXERCICE
III :
On considère les suites
un et vn définies par :
![]()
1.Calculer u1, u2 et u3
2.Demontrer
que vn est une suite géométrique dont on déterminera le premier
terme et la raison
3.Donner
l’expression du terme général de vn
4.
On pose :sn=v0+v1+v2+v3+…….+vn
Donner
l’expression de Sn en fonction de n
5.Calculer
la limite de sn quand n→∞
EXERCICE IV :
Dans un pays, au
début de l’année 2008, une ville A compte 200 000 habitants, et sa population
décroît de 3% par an, tandis qu’une autre ville B compte 150 000 habitants,
avec une croissance annuelle de 5%. On appelle an le nombre d’habitants de A n
années après 2008 (d’où u0=200 000), et de même bn pour
la ville B.
1) Calculer a1
et b1
2) Montrer que an
et bn sont des suites géométriques dont on précisera les caractéristiques. Puis
donner leur forme explicite.
3) Au bout de combien d’années la population de la ville B
dépassera-t-elle celle de la ville A ? La population de B augmente, celle de A
diminue. Quand aura-t-on an=bn ?
4.Une population d’insectes augmente de 30% par an.
Aujourd’hui, elle compte un million d’individus. On veut savoir au bout de
combien d’années elle atteindra 100 millions.
EXERCICE
V :
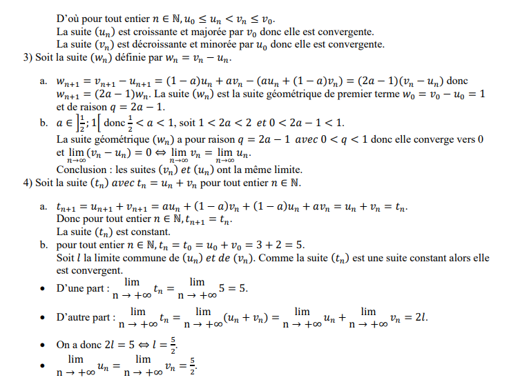
Soit
𝑎 ∈ ] 1/ 2 ; 1[ et les
suites (𝑢𝑛 ) 𝑒𝑡 (𝑣𝑛 ) telles que 𝑢0 = 2 ; 𝑣0 = 3 ,𝑢𝑛+1 = 𝑎𝑢𝑛 + (1 − 𝑎)𝑣𝑛 𝑒𝑡 𝑣𝑛+1 = (1 − 𝑎)𝑢𝑛 + 𝑎𝑣𝑛.
1)
Démontre par récurrence que pour tout entier 𝑛 ∈
ℕ, 𝑣𝑛 − 𝑢𝑛 > 0.
2)
a- Démontre que la suite (𝑢𝑛 ) est croissante.
b- Démontre que la suite (𝑣𝑛 ) est décroissante.
c- Démontre que les suites (𝑢𝑛 ) 𝑒𝑡 (𝑣𝑛) sont convergentes.
3)
Soit la suite (𝑤𝑛 ) définie par 𝑤𝑛 = 𝑣𝑛 − 𝑢𝑛 .
a- Démontre que la suite (𝑤𝑛) est une suite géométrique à
déterminer.
b- En
déduire que les suites (𝑢𝑛 ) 𝑒𝑡 (𝑣𝑛) ont la même limite.
4)
Soit la suite (𝑡𝑛 ) définie par 𝑡𝑛 = 𝑢𝑛 + 𝑣𝑛 .
a-
Démontre que la suite (𝑡𝑛 ) est une suite
constante.
b- En
déduire la limite commune des suites (𝑢𝑛 ) 𝑒𝑡 (𝑣𝑛).
CORRIGES
EXERCICE I :
1.
U3=u0+3r
S4=(n+1)(u0+u4)/2=5(2u0
+4r)/2
![]()
2.


EXERCICE II :
1.vn+1=un+1 -1=1/5un +4/5 -1=1/5vn=>suite
géométrique de raison q=1/5
v0=u0-1=6-1=5
2.vn=v0qn=5(1/5)n
3.vn=un-1=>un=5(1/5)n+1
![]()
![]()
EXERCICE III :
1. u1=u0+1 =2u0-3=2x1-3=-1
u2=-5
u3=-13
2.vn+1=un+1 -3=2un -3 -3=2un-6=2(un-3)=2vn
v0=u0-3=1-3=-2
q=2
3.vn=v0qn=(-2)(2)n=-2n+1
4.Sn=v0
![]()
EXERCICE IV :
a1=200 000 – (3/100) 200 000=
194 000
b1=150 000 + (5/100) 150 000=
157 500.
an+1= an – (3/100) an
= (97/100) an = 0,97 an, et de même bn+1 = 1,05 bn
.
On en déduit que an = a0
(0,97)n et bn = b0 (1,05)n .
Cela aura lieu lorsque 0,97n 200 000 =
1,05n 150 000, soit (1,05/0,97)n = 20 / 15, ou (105 / 97)n
= 4/3.
Passons en logarithmes : n (ln 105 – ln 97) = ln
4 – ln 3, d’où ln 4 ln 3 ln105 ln 97 => n = 3,63. La population de B
dépassera celle de A au cours de la troisième année, c’est-à-dire pendant
l’année 2008+3 = 2011.
4. Appelons u0
la population actuelle, et un sa valeur au bout de n années. En un an, elle
augmente de 30% = 30/100= 0,3. Cela signifie que un+1= un
+ 0,3 un = 1,3 un. On obtient une suite géométrique de
terme initial u0 et de raison 1,3. D’où la forme explicite un=1,3n
106 . On veut trouver n tel que un=100. 106 ,
c’est-à-dire 1,3n =100, ou encore n ln1,3 = ln 100, n = ln100 /
ln1,3, n = 17,6 années.
EXERCICE V :

Merci de votre visite
Laissez un commentaire