SUITES NUMERIQUES
GENERALITES SUR LES SUITES
Définition :
Une
suite numérique (un) est une application de IN dans IR.
(un) :
IN→IR
n→un
On
note (un) la suite de nombres u0, u1, u2,..., un, ...
Le
nombre un est le terme d’indice n (ou de rang n).
uo
est le premier terme de la suite.
On
distingue deux types de définition des suites numériques :
Suites définies par une formule explicite
Ce sont des suites dont l’expression directe
est en fonction de l’entier n.
Exemple :
Un=2n
+1
Calculons
les 5 premiers termes
U0=2x0
+1=1
U1=2x1
+1=3
U2=2x2
+1=5
U3=2x3
+1=7
U0=2x4
+1=1
Suites définies par une formule implicite ou par récurrence
.
Exemple :
un+1
= 3un + 2 et uo=1
Calculons
les deux premiers termes :
u1 = 3u0 + 2= 3x1 + 2=5
u2 = 3u1 + 2= 3x5 + 2=17
Le raisonnement par récurrence
Le raisonnement par récurrence permet de
montrer qu’une propriété, qui dépend d’un entier naturel est vraie pour tout
entier supérieur ou égal à un entier naturel donné.
Ø Principe de
raisonnement par récurrence :
Pour démontrer par récurrence qu’une
proposition est vraie pour tout entier naturel (étant un entier naturel donné),
on peut suivre les étapes suivantes :
·1ère étape :
initialisation : On vérifie que la propriété est vraie pour le premier
terme.
· 2ème étape : hérédité :
On suppose qu’elle est vraie pour un certain rang p (cette supposition est
appelée hypothèse de récurrence), on montre par la suite qu’elle est aussi
vraie au rang p+1(on dit dans ce cas que la propriété est héréditaire).
· 3ème étape : conclusion :
Une fois les étapes 2 et 3 sont vérifiées, on conclut d’après le principe de
raisonnement par récurrence
qu’elle est vraie pour tout entier naturel.
Exemple :
Soit la
suite u0=2 et un+1=5un +4, montrons qu’elle
est à termes positifs.
·
Initialisation :
on montre que le premier terme est positif : u0=2>0
·
Hérédité :
on montre que si up>0 alors up+1>0 up+1=5up+4>0
et il y a hérédité.
·
Conclusion
: Par récurrence la propriété est vraie pour tout n.
ETUDE D’UNE SUITE NUMERIQUE
Variations d’une suite
Définition
:
Soit
(un) une suite de nombre réels. E est son
ensemble de définition et I, un intervalle de E.
·
La
suite (un) est croissante si, pour tout entier naturel n, un+1 ≥un.
·
La
suite (un) est strictement croissante si, pour tout entier naturel n, un+1
> un.
·
La
suite (un) est décroissante si, pour tout entier naturel n, un+1 ≤
un.
·
La
suite (un) est strictement décroissante si, pour tout entier naturel n, un+1
< un.
Méthode :
a) La méthode algébrique
Ø
On
étudie le signe de un+1-un
·
Si
pour tout n de E, un+1-un ≥ 0, alors la suite un
est croissante.
·
Si
pour tout n de E, un+1-un ≤ 0, alors la suite un
est décroissante.
Exemple :
Ø
Un
compare le quotient
à 1, si pour tout entier naturel n
de E, un ≥ 1
· Si pour tout n de E,
alors la suite un est croissante.
· Si pour tout n de E,
alors la suite un est décroissante.
Exemple :
b) Étude à l‘aide d’une fonction
Si un =f(n), alors un a le même sens
de variation que la fonction f.
On étudie donc les variations de la fonction
sur I contenant E.
·
Si
f est croissante sur I, alors la suite un est croissante.
·
Si
f est décroissante sur I, alors la suite un est décroissante.
Exemple :
c) Utilisation du raisonnement par récurrence
(vu plus haut)
Suites
majorées, minorées, bornées
Définition :
Soit (un)
une suite de nombre réels.
·
La
suite (un) est majorée s’il existe un nombre réel M tel que, pour
tout entier naturel n, un≤ M.
·
La
suite (un) est minorée s’il existe un nombre réel m tel que, pour
tout entier naturel n, un≥ m.
·
La
suite (un) est bornée si elle est à la fois majorée et minorée.
Exemple :
Convergence
d’une suite
Définition :
Une suite (un)
est une suite convergente vers le nombre réel l
si tout intervalle ouvert contenant l contient
tous les termes de la suite à partir d'un certain rang. Le nombre réel l est la limite de la suite (un), on écrit :
![]()
Une suite est divergente si elle n’est pas
convergente (sa limite est infinie ou n’existe pas).
Théorème
:
Toute suite croissante et majorée converge. Toute suite décroissante et minorée
converge.
Remarque
:
Si la suite (un) est croissante et
majorée par un réel M, alors la limite de (un) est inférieure ou
égale à M; cette limite n'est pas nécessairement M.
Suites monotones convergentes :
Théorème :
Toute suite croissante et majorée converge. Toute suite décroissante et minorée
converge.
Remarque :
Si la suite (un)
est croissante et majorée par un réel M, alors la limite de (un) est
inférieure ou égale à M; cette limite n'est pas
nécessairement M.
Exemple: La
suite (un) définie par
et u0 = 0 est croissante et
majorée par 2; elle converge donc mais sa limite n'est
pas 2 mais le nombre
Propriétés
:
Si (un) converge
vers l, et si (un) est croissante, alors pour tout n de IN, un
≤ l. Si (un) converge vers l, et si (un)
est décroissante, alors pour tout n de IN, un≥ l.
Suites adjacentes
Définition :
On dit
que deux suites (un) et (vn)
définies sur IN sont adjacentes si et seulement si les trois conditions
suivantes sont réalisées :
Pour tout entier naturel n,
Ø ![]()
Ø
;
Ø ![]()
Théorème :
Si les deux suites (un) et (vn) sont adjacentes, alors elles convergent vers
la même limite.
REPRESENTATION GRAPHIQUE DES TERMES D’UNE SUITE
Si la suite (un) a son terme général défini en fonction de n, on représente
la suite dans un repère du plan, par un ensemble de points de coordonnées (n; un). Cette représentation graphique permet de
visualiser les variations de la suite et éventuellement la convergence.
Méthode :
·
Commencer
par représenter la fonction et la première bissectrice.
·
Placer
le point d’abscisse u0 sur l’axe des abscisses
·
A
partir du point d’abscisse u0 sur l’axe des abscisses, on obtient
sur l’axe le point d’abscisse u1 en traçant une parallèle à l’axe
des ordonnées qui coupe la courbe au point A0(u0, u1),
on trace ensuite une parallèle à l’axe des abscisses qui passe par A0 ;
cette parallèle coupe la première bissectrice en un autre point. En traçant une
autre parallèle à l’axe des ordonnées passant par ce point, cette nouvelle
parallèle coupe l’axe des abscisses au point u1.
·
On
répète le processus.

EXERCICES
EXERCICE
I :
1.Montrer
que la suite numérique (un) définie par :
est majorée par 1 et minorée par 0
2.Soit la suite numérique
(un) telle que :
![]()
Montrer
par récurrence que pour tout n, 0<un<1.
3.Montrer
par récurrence que pour tout n, un= (-4)n+1
+1
EXERCICE
II :
Soit
la suite (un) définie par :

On
suppose que la suite (un)
est décroissante et que : 0≤un≤1
Démontrer
que la suite(un) est convergente et déterminer sa limite.
EXERCICE
III :
On considère la suite vn
définie par :

Démontrer
que la suite vn est minorée par Ѵ2
et majorée par 2.
EXERCICE
IV :
Soit la suite (un) telle que
pour tout entier naturel n .
A - Approche « récurrente » :
1/
Vérifier 0 £ un £ 1 pour tout entier n .
2/
Montrer que la suite u est croissante. Qu’en conclure ?
3/
Calculer
.
B - Approche « fonctionnelle » :
Soit f définie sur [0 ; +∞ [ telle que
.
1/
Montrer que f est continue, strictement croissante sur [0 ; +∞[
2/
Calculer
3/
Expliquer pourquoi l’approche « fonctionnelle » permet d’obtenir les résultats
cherchés dans la partie A , alors qu’elle n’aurait pas
été applicable si on avait définie u par
.
EXERCICE
V :
On considère la suite (un) définie
par u0=1 et la relation de récurrence :
![]()
1)
Justifier l’existence de cette suite.
2)
Si la suite était convergente, quelle serait sa limite ? Quelle conclusion
peut-on en tirer sur le comportement de la suite à l’infini.
EXERCICE VI : Soit la suite (un)
définie par :

1.Montrer
que -1<un<0 pour tout n ϵN
2.Montrer
que un est une suite strictement
croissante.
3.
Montrer que : 
En
déduire que :
CORRIGES
EXERCICE I :
1.
![]()
![]()
0
=>![]()
2.Soit la suite numérique (un) telle que :

Montrons par récurrence que pour tout n, 0<un<1.
Initialisation : ![]()
La propriété est vraie au rang 0, il y a donc initialisation.
hérédité : Supposons la
propriété vraie au rang p c.-à-d
Montrons qu’alors, la propriété est vraie au rang p+1
c.-à-d. ![]()
![]()
![]()
![]()



Conclusion : Il y a initialisation et
hérédité par récurrence, la propriété est vraie pour tout n.
3.Montrons par récurrence que pour tout n, un= (-4)n+1 +1
Initialisation : ![]()
La propriété est vraie au rang 0, il y a donc initialisation.
hérédité : Supposons la
propriété vraie au rang p c.-à-d ![]()
Montrons qu’alors, la propriété est vraie au rang p+1
c.-à-d. ![]()
Il y a
hérédité
Conclusion : Il y a initialisation et
hérédité par récurrence, la propriété est vraie pour tout n.
EXERCICE
II :
La suite (un) est décroissante et minorée par 0 ;donc elle converge.
On a : ![]()
La fonction f
est continue sur [0,1] et pour tout n ϵN, un ϵ
[0,1] ; donc la limite de la suite (un) est solution de
l’équation : x ϵ [0,1], f(x)=x
ou x=2
Puisque,0 ϵ
[0,1] et 2 non, donc 0 est l’unique solution de l’équation f(x)=x, par suite,![]()
EXERCICE
III :

EXERCICE IV :



EXERCICE V :

EXERCICE VI :
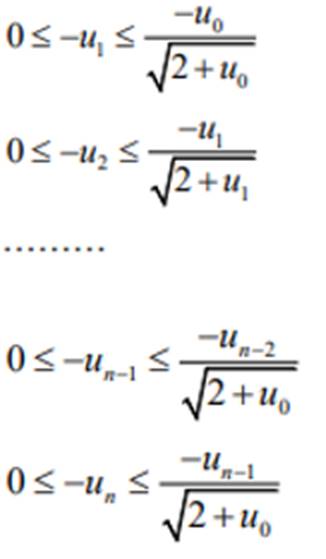
1.Montrons par récurrence que -1<un<0.
Initialisation :n=0 on a :-1<u0<0
Donc la proposition est vraie pour n=0.
hérédité : supposons la
propriété vraie pour n c.-à-d -1<un<0
montrons qu’elle est également
vraie au rang n+1 c.-à-d. -1<un+1<0.
-1<un<0
<=>1<un +2<+2
<=>1<
<![]()
<=>
<
<1
Et puisque-1<un<0 donc
<
<1
Donc
<
<0 donc -1<un+1<0.
D’où -1<un<0
2.Montrons que un est strictement croissante.

Et puisque 
Alors 
3. Montrons que 
Soit nϵN on a : un≥u0
car un est croissante donc :
c.-à-d
Donc :
Soit n ϵN on a 
Donc : 
En donnant les
valeurs a n , on trouve :

Le produit des inégalités
donne :

Merci de votre visite
Laissez un commentaire