DERIVEES
DEFINITION
Soit f, une fonction numérique définie
sur I, un intervalle et x0 est un réel
I. On dit que f est
dérivable sur I si :

existe et est finie.
Cette limite est appelée
le nombre dérivé de f en x0. On le note : f’(x0).
Exemple :
f(x)=
=
=

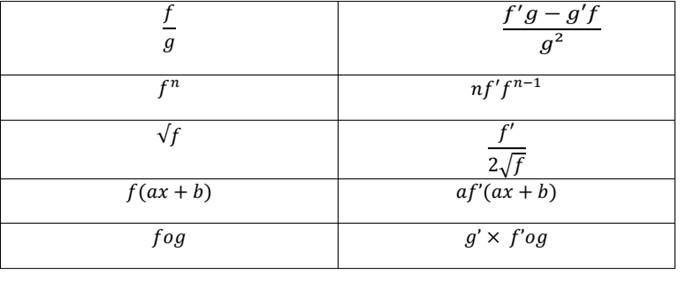
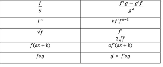
CALCUL DES DÉRIVÉES

OPERATIONS SUR LES FONCTIONS DERIVABLES
Soient
f et g deux fonctions
dérivables sur un intervalle I de et k un nombre réel non nul.


Exemple :


DERIVEES
SUCCESSIVES : POINT D'INFLEXION
. Lorsque la dérivée
seconde s'annule en un point d'abscisse x0 en changeant de signe,
alors
le point d'abscisse x0 est appelé « point d’inflexion ».
Au point d'inflexion, la
courbe traverse la tangente et change de concavité
EQUATION DE
LA TANGENTE A LA COURBE D’UNE. FONCTION
·
Soient une
fonction f, (C) sa courbe représentative et A un point de (C) d’abscisse x0.
Si f est dérivable en x0, alors(C) admet en A une tangente (T) dont
le coefficient directeur est f’(x0).
La tangente (T) en x0 a
pour équation :
y= f’(x0)(x-x0)
+ f(x0)
Exemple : f(x)=x2
+2 et x0=3
f’(x) =2x
f’(3=2(3)=6
f(3)=(3)2
+2 =11
L’équation
de la tangente en 3 est : y=6(x-3) + 11=6x+29=> y=6x +29
·
Si f’(x0)=0, alors (C) admet au point abscisse x0 une tangente parallèle
à l’axe des abscisses (horizontale) d’équation y =f(x0).
SENS DE VARIATION

RECHERCHE DES EXTREMA
Soit la
fonction dérivable sur I, un intervalle donné et Cf sa courbe
représentative dans un repère orthonormé (O,
)
On dit que (Cf) admet un extrémum
au point A(x0,f(x0)) si f’(x0)=0
et pendant l’étude du signe de la dérivée , on observe un changement de signe.
Si f croit et décroit ensuite, on a
un maximum en M0. Il
correspond à la plus grande ordonnée .la courbe admet une tangente horizontale
en M0.

Si f décroit et croit ensuite, on a
un minimum. Il correspond à la plus
petite ordonnée. La courbe admet une tangente horizontale en M0.

TABLEAU DE VARIATION

EXERCICES
EXERCICE
I :
: Dans chacun des cas suivants, étudier les variations de la fonction puis
préciser ses extremums.
1. ![]()
2. 
3. f(x)=
4. 
5. ![]()
EXERCICE
II :

EXERCICE
III :

CORRIGES
EXERCICE I :
1. f(x)=x2-3x+2
Domaine de définition : Df=IR= ![]()
f’(x)=2x-3
f’(x)=0 <=>2x-3=0 => x= 3/2
f (3/2) =(3/2)2
-3(3/2) +2=-1/4
L’extrémum est le point A (
-1/4![]()
x∈]-∞,3/2[ la dérivée est négative =>la fonction est
décroissante
x∈]3/2,+∞[,
la dérivée est positive =>la fonction est croissante
|
x |
-∞. |
|
|
f’(x) |
- |
+ |
|
f(x) |
|
|
4.

Domaine de définition : Df=]-∞,-1[U]-1,+∞[

f’(x)=0 =>x=0 ou x=-2
f(0)=0-1+
=0
f(-2)=-2-1+
=-4
Les points A (0 ;0) et B
(-2 ; -4) sont des extrémums.
Signes de la dérivée :
C’est le signe de x(x+2) car (1+x)2 est toujours positif.
|
x |
-∞
-2
0
+∞ |
||
|
x+2 |
- |
+ |
+ |
|
x |
- |
- |
+ |
|
x(x+2) |
+ |
- |
+ |
x ∈ ]-2,0[, la
dérivée est négative =>la fonction est décroissante
x ∈ ]-∞,-2[U]-∞,+∞[ la dérivée est positive =>la
fonction est croissante
Tableau de variation :
|
x |
-∞ -2 -1 0 +∞ |
|||
|
f’(x) |
. + |
|
. - |
+ |
|
f(x) |
|
|
||
5.
f(x)=(2x+1)
(x2-2)
f’(x)=
(2x+1)’(x2-2) + (2x+1) (x2-2)’=2(x2-2) +
(2x+1)2x=2x2-4+4x2+2x=6x2+2x-4
EXERCICE II :
a)
x-5=0 => x=5. La valeur x=5 est
interdite.
b)
f’(x)=
=-
c)
Pour tout x ∈ [-15,10] , f’(x)<0
|
x |
-15 5
10 |
||
|
f’(x) |
- |
|
- |
|
f(x) |
|
|
|
d) L’équation de la tangente s’écrit :
f(x) –f(x0) =f’(x0)
(x-x0) avec x0=-1

=![]()
-
-
- ![]()
EXERCICE III :
1- Df=]-∞,-1[U]-1,+∞[




2.
3.h’(x)=0<= >x=1/2 et -5/2


|
x |
-∞ -5/2 -1 1/2 +∞ |
||
|
hf’(x) |
+ - |
|
-
+ |
|
h(x) |
|
|
|
Merci de votre visite
Laissez
un commentaire