CORRIGES
EXERCICE I :
1- Equation différentielle vérifiée par l’intensité du courant i(t).
-u(t)+uL+uR=0=>u(t)=uL+uR

Soit encore :

Cette équation différentielle traduit l’évolution du courant en fonction du temps :
u(t)=E => 
2- La solution de l’équation différentielle s’écrit sous la forme :







3- R2=2R1
=
Lorsqu’on augmente R, la constante de temps est plus petite et le temps de rétablissement du courant diminue.
EXERCICE II :
1. L’intensité du courant électrique en régime permanent est Ip=E/R+r=12/(40+8)=0,25 A.
2. Equation différentielle vérifiée par l’intensité du courant i(t). R1=R+r
-u(t)+uL+uR=0=>u(t)=uL+uR

Soit encore :

Cette équation différentielle traduit l’évolution du courant en fonction du temps :
u(t)=E =>
3. Les solutions sont de la forme :

Par identification,
avec
R1=R+r

4. 
5. Trouver l’énergie E emmagasinée par la bobine à l’instant t= t /2.


EXERCICE III :

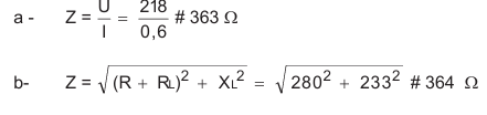
Bobine : L = 743 mH RL = 60 Ω Résistance : R = 220 Ω
1 - Calcul des tensions partielles :
UR = R x I = 220 x 0,6 = 132 V
URL = RL x I = 60 x 0,6 = 36 V
UXL = 100π x L x I = 100π x 0,743 x 0,6 = 140 V
Remarque : URL et UXL ne sont pas accessibles à la mesure

La mesure de U donne environ 11 divisions, d'où : U = 11 div x 20 V/div. = 220 V
2 - La mesure de UL donne environ 7,2 divisions, d'où : U L = 7,2 div x 20 V/div. = 144 V
3 - Calcul de l'impédance ZL de la bobine réelle :
4 - Calcul de l'impédance Z du circuit :
